Вчені математично "довели", що Бог існує

  1. теорема Геделя
  2. Ейнштейн про Бога

Двоє німецьких вчених оголосили, що те, що довели теорію про існування Бога.

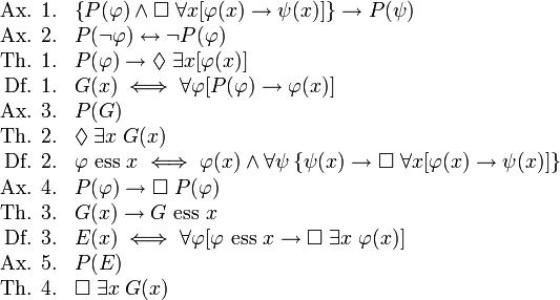
Фахівці в області комп'ютерних наук Крістоф Бенцмюллер (Christoph Benzmuller) і Бруно Вольценлогел Палео (Bruno Woltzenlogel Paleo) звернулися до теорії математика Курта Геделя, щоб довести існування Всевишнього істоти .

Гедель був австрійським математиком, який в 1978 році стверджував, що вища істота має існувати, якщо люди вірять в те, що він існує.

Гедель створив мережу теорем і аксіом, які висловив в математичних рівняннях.

теорема Геделя

Двоє німецьких вчених оголосили, що те, що довели теорію про існування Бога

Хоча математично це звучить набагато складніше, рівняння зводиться до наступного:

"Бог, за визначенням, це те, більше якого не можна осягнути. Бог існує в розумінні. Якщо бог існує в розумінні, ми можемо уявити його вищим, існуючим в реальності. Отже, Бог повинен існувати".

Фахівці проаналізували онтологічний доказ Геделя за допомогою комп'ютера і прийшли до висновку, що той мав рацію.

Фахівці проаналізували онтологічний доказ Геделя за допомогою комп'ютера і прийшли до висновку, що той мав рацію

"Дивно, що це можна автоматично перевірити за кілька секунд на стандартному ноутбуці", - розповів Бенцмюллер.

Двоє вчених довели, що теорія Геделя є математично розумною, однак вони не довели існування Бога, що не було їхньою метою.

Початкова мета вчених полягала в тому, щоб показати, наскільки вдосконаленими стали комп'ютери. І якщо вони змогли довести існування Бога, вони можуть зробити що завгодно.

Ейнштейн про Бога

Відомо, що Курт Гедель полягав у дружніх відносинах з Альбертом Ейнштейном, хоча їхнє ставлення до релігії відрізнялося.

У 2012 році було продано відоме "Лист про Бога" Ейнштейна, написаний ним незадовго до смерті в 1954 році, де він стосується теми релігії.

Історичний документ спростовував оману, ніби Ейнштейн був релігійним і вірив в Бога.

Лист, продане трохи більше ніж за 3 мільйони доларів, було адресовано єврейському філософу Еріку Гуткінду.

Зокрема в ньому пишеться: "Слово Боже для мене не більше ніж вираз і продукт людських слабкостей, Біблія - ​​збори гідних, але все-таки примітивних легенд, які досить дитячі. Ніяка інтерпретація, якою б майстерною вона не була, не може (для мене) це змінити ".

http: //www.infoniac.ru/news/Uchenye-matematicheski-dokazali -...

Навигация сайта
Новости
Реклама
Панель управления
Информация